
产品分类
更新时间:2023-04-23
浏览次数:612胡冠楠
开云官方端网站登录入口电器制造有限公司 上海嘉定
摘要:交流电网和电气设备的绝缘状况直接影响舰船电力系统安全,其绝缘电阻的下降是一个不可避免的过程,成为了电网安全的严重隐患。电气设备绝缘材料的劣化过程是不可逆的,对舰船交流电网进行绝缘在线监测及快速定位绝缘故障支路,对保障舰船电力系统的安全及航行安全具有重要意义。
关键词:交流电网;绝缘电阻;在线监测;定位
1引言
舰船交流电网是船舶的大动脉,直接影响舰船的生命力及执行力。舰船环境条件较为恶劣,电网的绝缘易受损害,给舰船电气设备的正常运行带来隐患。如果舰船电网绝缘缺乏有效的监测手段,绝缘状况将会持续恶化,造成供电系统故障或控制功能紊乱,尤其是在进出港或航行于危险航道时,酿成安全事故。因此,建立有效的舰船交流电网绝缘监测系统,及时消除安全隐患,对保障舰船安全尤为重要。
2影响交流电网绝缘性能的因素
舰船交流电网绝缘缺陷可分为两种:一种是分布性缺陷;另一种是集中性缺陷。一般而言,分布性缺陷的产生基本是因为过热、受潮、动力负荷以及长时间过电压的工作环境而造成机电设备整体绝缘性能下降。这种缺陷产生过程缓慢,但却具有普遍性;集中性缺陷主要是指绝缘缺陷集中于某一个或某几个部分或区域,如区域局部受潮、设备局部机械损伤等,这种缺陷发展快,因而危险性大。
2.1环境因素
舰船及其设备运行环境恶劣,长期运行于高盐、高温、高湿和油雾的海洋环境中,在这样的环境条件下霉菌容易大量繁殖,造成绝缘材料性能变差,甚至会使绝缘失效;绝缘材料表面对潮气的吸附,引起绝缘材料表面积聚粉尘、水蒸汽,在水和电场的作用下产生放电,破坏绝缘材料表面;而空气中的水分、氧气、化学尘埃和阳光辐射,会加速电气设备绝缘材料表面老化。
舰船电气设备所处的工作环境普遍较差,机舱安装设备众多,正常航行时机舱温度高达45℃~50℃甚至更高,加上内部工作舱室通风不畅,在这样的环境下电气设备绝缘性能下降尤为严重;另一方面,舰船在大风浪中航行时,船体持续地摇摆、倾斜,甚至遭受海浪的猛烈冲击,船内设备也随之遭遇不同程度的震动。舰船内的主机、辅机和其他各种机械设备在正常运行中也不可避免地会产生不同程度的震动,从而导致机电设备及船上各种电缆都受到持续的冲击、震动,因而产生各种弯曲、拉伸、扭转、摩擦等物理形变,使绝缘材料遭到不断磨损和破坏。
2.2设备因素
电气设备主要由绝缘材料以及各种导电、导磁材料构成,其中绝缘材料大部分为有机材料,通过氧化聚合、分解、挥发等一系列的化学反应而制成。在这个过程中,绝缘材料变脆、介质损耗增加、吸潮性增大、电导增大,从而引起绝缘材料电气性能产生不可逆的转化。电气设备的绝缘性能受自身条件和外界因素影响,总体呈现不断下降、劣化的趋势。
在电气设备制造、长途运输及装卸、运行等过程中,电气设备的绝缘性能不可避免地会产生各种缺陷。在正常工作中,电气设备绝缘材料受电磁场作用,绝缘性能下降:材料的电荷分布不均匀,电容率变大,绝缘性能变差;绝缘材料在直流电场下产生漏电流,电导率增大;电荷在电场中产生运动,不论是前后、左右的移动还是转向,均需从电场中吸收能量,使自身的热振动加剧,引起发热而加速绝缘老化。因此,电气设备的正常工作过程也是一个自身绝缘性能不断下降的过程,当绝缘性能下降到某一临界点时,如果绝缘材料的局部电导急剧增加,就有可能在薄弱的一点或几点发生击穿,致使电气设备失去绝缘特性。
3交流电网绝缘监测与定位
舰船电网的安全运行是舰船安全航行的基础。在舰船航行过程中,船舶设备处于长期工作状态,由于温度、湿度、电压和频率不断变化而引起的发热、损耗,以及机械振动等因素都直接影响着绝缘电阻的高低,绝缘电阻随温度、湿度的升高而下降。绝缘性能的不断降低,严重威胁着舰船的航行安全,因此绝缘监测设备已成为舰船的设备。
3.1绝缘电阻测量的原理
测量交流电网绝缘电阻的基本原理,如下图1所示。正常情况下,将一个稳定的直流电压加入交流电网某相与地之间,测量直流电压产生的直流电流值,再根据下式即可以计算出交流电网对地的绝缘电阻值:

根据图1所示的绝缘电阻测量基本原理,可相应地作出一个在线进行绝缘监测的技术方案,进而制造出绝缘监测仪。绝缘监测仪从电网取得交流电源,经过整流、滤波、稳压得到一个稳定的直流电压,再将此电压加入到相、地之间,即可实现测量该交流电网的对地绝缘电阻;如果测得的绝缘电阻达到预先设定的某个数值时,监测仪马上发出报警信号至报警装置,驱动报警电路进行声光报警,从而实现电网绝缘监测报警的功能。
根据绝缘电阻测量基本原理制造的绝缘监测装置,成本低、简单实用,同时还满足了船级社关于舰船电网绝缘监测方面的相关要求,因此得到了广泛的应用。但该型绝缘监测仪只是监测了整个电网的绝缘状态,当整船电力网络出现绝缘值低于设定值时,绝缘监测即可实时发出绝缘报警,但却无法准确判断绝缘故障的具体位置,这将会严重影响舰船的正常航行。
3.2传统的绝缘故障查找与定位方法
绝缘监测仪在发出声光报警后,为了保障舰船的安全航行,必须查找出故障位置并排除故障。当电网某一支路因出现绝缘低而引发绝缘报警时,切断支路电源,绝缘报警就会自行消除。因此目前应用较为广泛的绝缘故障查找与定位方法是支路断电法。
支路断电法是从配电板开始,依次断开主配电板的各个开关,首先排查从主配电板引出的各支路,确认无误后再循着该支路依次断开各个分电箱的电源,定位具体故障的分电箱,再从故障分电箱定位具体的故障线路及设备。由于支路断电法工作繁琐,而且在检查过程中甚至会影响到主辅机的正常运行,因此研究一种更为高效的故障支路查找及定位方法势在必行。
3.3绝缘故障自动定位方法
现代船舶向着大型化发展,舰船电网越来越复杂、支路越来越多,在航行过程中出现绝缘故障时主要设备又不允许停电检查,因此研究绝缘故障支路自动定位方法尤为重要。
3.3.1绝缘故障支路的定位方法
定位绝缘故障支路时,综合使用双频法与漏电流幅相比较法的混合测量方法较为有效:在检测到电力网络绝缘低于预设置值时,启动定位程序,优先启用漏电流幅相比较法,检查是否存在支路单相绝缘降低的故障;当使用漏电流幅相比较法没有检测到故障支路时,则有可能出现两相或三相绝缘同时降低的故障,在此情况下采用双频法进行故障支路检测。因此,采用混合测量法可实现故障支路的准确定位。
3.3.2单相绝缘故障的定位方法
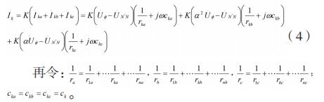
现代舰船三相交流电力系统基本采用中性点不接地的方式,电力网络在实际运行过程中,电气设备单相对地绝缘故障是最为常见的电力网络故障。随着舰船电站容量的不断增大和用电设备的增多,设备接地电容和网络分布电容随之增大,因此当某个负载支路发生单相对地绝缘故障时,同处一个供电区域的其它各负载支路都会产生一定的对地泄漏电流,利用负载支路发生单相对地绝缘故障时各支路漏电流的幅相特性,即可进行故障支路的定位。
三相浮地系统各负载支路对地参数等效模型,如图2所示。图中供电网络由n条支路构成,图中rka、rkb、rkc分别表示各负载支路A、B、C各相对地绝缘电阻值;cka、ckb、ckc分别表示各负载支路A、B、C各相对地分布电容和设备接地电容的总和。

假设三相网络对称,其幅值相等且均为Uφ,三相之间的相位相差120°且各相对地总电容相同,则:

根据节点电压法:

设电流传感器变流比为K,则第k条支路电流传感器所输出的电流为:

假设供电网络各支路绝缘限值为R,若第k条支路A相绝缘故障,即
、
、
,供电网络其它各支路绝缘值均为正常数值时,经过计算可得:

考虑到此时有
,并且一般情况下对于较大型舰艇电力网络而言c>>ck,则有:

从公式(6)可知:当rka=0时,即可判断发生单相接地故障,故有Ik>>K3jwcUj。在假设其它各负载支路绝缘正常的情况下,该支路漏电流的异常主要由该支路对地电容变化引起。考虑第m(1≤m≤n,m≠k)条支路,该支路对应传感器输出电流为:

综上可知,故障支路与正常运行支路两者之间的漏电流幅值,存在如下关系:

在交流电力系统中,一般c>>cm,由此判断故障支路漏电流与正常支路漏电流值明显不一致;再结合前文计算,可知二者的相位相差180°,即二者漏电流方向相反,因此采用幅相比较法能够准确地定位单相故障支路。
3.3.3多相绝缘故障的定位方法
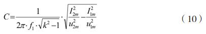
当电力系统负载支路发生两相或三相绝缘同时降低时,幅相比较法就无法准确定位故障支路,这时可考虑采用双频法进行故障支路定位,其工作原理如图3所示。

根据图3所示原理图,在舰船交流电网中分别加入交流信号f1、f2,两个交流信号的频率不相同。设该支路等效绝缘电阻为R,等效分布电容为C,所加两个交流信号的电压为us1、us2,所加两个交流信号产生的支路漏电流为i1、i2。
该支路的绝缘电阻,可用下式表示;

分布电容值,可用下式表示:

运用傅立叶方法,即可计算出注入信号的电压及流经电力系统各负载支路的电流,从而准确地计算出电力系统中各负载支路的对地绝缘电阻值,通过电阻值即能快速判断故障支路,从而实现故障支路的定位。
3.3.4绝缘监测装置
绝缘监测及其故障定位的功能主要取决于其数据采集、计算、逻辑判断的能力,再运行事先确定的程序即可快速、准确地定位电网故障支路。目前,幅相比较法与双频法理论较为成熟,技术可靠,因此可采用这两种技术设计一种绝缘监测装置,其硬件架构如图4所示。

绝缘监测装置硬件组成复杂,主要由CPU板、信号源板、显示板以及各支路传感器等组成。其中:传感器是能检测到微弱电流的敏感器件,置于被检测负载支路的前端;传感器信号处理器,采用具有高精度、低漂移仪器放大器件组成,通过放大、变换传感器输出的信号,计算后即可得到该支路漏电流的实时值。
根据舰船实际使用情况,设定绝缘报警值,监测装置在正常运行过程中按照一定的采样周期对各支路进行信号采样;CPU板根据设定的程序,自动计算各供电支路对地绝缘电阻值;当计算得到的电网绝缘电阻低于预设值时,装置驱动声光报警电路发出报警信号,启动故障定位程序,根据幅相比较法或双频法对各支路进行准确定位,然后将故障支路的相关信息发送至显示板,从而实现交流电网的绝缘监测与故障支路定位功能。
4绝缘监测及绝缘故障定位产品
4.1绝缘监测及绝缘故障定位产品
AIM-T系列工业用绝缘监测仪

AIM-T系列绝缘监测仪主要应用在工业场所IT配电系统中,主要包括AIM-T300、AIM-T500和AIMT500L三款产品,均适用于纯交流、纯直流以及交直流混合的系统。
其中AIM-T300适用于450V以下的交流、直流以及交直流混合系统,AIM-T500适用于800V以下的交流、直流以及交直流混合系。AIM-T500L相比AIM-T500增加了绝缘故障定位功能。
4.2绝缘故障定位产品

工业用绝缘故障定位产品配合AIM-T500L绝缘监测仪使用,主要包括ASG200测试信号发生器,AIL200-12绝缘故障定位仪,AKH-0.66L系列电流互感器,适用于出线回路较多的IT配电系统。
4.3绝缘监测耦合仪
绝缘监测耦合仪配合AIM-T500绝缘监测仪使用,主要包括ACPD100,ACPD200,适用于交流电压高于690V,直流电压高于800V的IT配电系统。
5技术参数
5.1绝缘监测仪技术参数


5.2测试信号发生器技术参数
5.3绝缘故障定位仪技术参数
5.4 AKH-0.66L系列电流互感器技术参数
5.5绝缘监测耦合仪技术参数

6结语
定位故障支路、提高船员排除电网绝缘故障效率,能够有效地保障舰船电力系统供电安全。在平时将存储每条支路的绝缘电阻测量值,经过一段时间的数据积累,船员可通过分析得到各支路绝缘状态的变化趋势,并在平常维护保养中对绝缘性能下降较快的设备作为重点对象加强维护保养,延缓其下降趋势,在其发生故障之前排除故障或进行修换,避免在舰船航行中发生故障,保证航行安全。
参考文献
[1]薛宇.船舶电气接地故障的查找及防治[J].中国水运,2012(4);
[2]万炳康.船舶电网绝缘性能对船舶安全航行的影响[J].江苏船舶,2002(1);
[3]开云官方端网站登录入口企业微电网设计与应用手册.2020.6版;
[4]开云官方端网站登录入口IT系统绝缘监测故障定位装置及监控系统(中英文)2020.01版
上一篇:浅谈电能计量管理系统在煤矿上的应用