
产品分类
更新时间:2023-05-15
浏览次数:578胡冠楠
开云官方端网站登录入口电气股份有限公司 上海嘉定
摘要:高压设备在长期的运行过程当中,其很多部位会发生温度升高的状况,如开关柜触头接触不良导致触头温度升高,甚至烧毁,由此造成停电事故发生。由此可见,对高压开关设备的待测温部位的温度在线监测是需要的。基于CT取电无线温度系统不用频繁更换电池,提升系统的实用性。本文同时介绍了如何通过软件和硬件实现无线测温系统低功耗,满足母线小电流情况使用,并在实际应用中证明该技术的实用性。
关键词:CT取电;高压设备;无线测温系统;低功耗
1、引言
高压电气设备温度监测点都处于高电压、大电流、强磁场的环境中,甚至有的监测点还处在密闭的空间中,由于强电磁噪声和髙压绝缘、空间的限制等问题,通常的温度测量方法无法解决这些问题而无法使用。无线式温度监测系统采用无线电波进行传输数据。传感器安装在高压设备上,与接收设备之间无电气连接,因此该系统解决了高压设备接点运行温度不易实时在线监测的难题。本文为高压设备无线测温系统设计了一种高压母线感应取电电源,使用该电源的无线测温模块不需要依靠变电站的市电电源供电实现了独立工作。
2、感应取电线圈设计
母线供电的核心器件是磁感应线圈,也是设计的难点。母线上的电流变化外围较大:低至几安,高达上千安,市面常见10kV高压开关柜的额定电流有630A、1250A、1600A等。在设计磁感应线圈的过程中要考虑到:当母线处于小电流状态时,磁感应线圈获得的能量较小,系统不能正常工作;当母线电流超过额定电流的强电状态,或者短路故障电流时,磁感应线圈产生的高压尖脉冲对副边各器件造成的干扰和损坏,尤其是对后续电路的干扰。因此在母线电流较为复杂的情况下,磁感应线圈的铁芯材料的选型很关键。
2.1铁芯材料选择
目前可供使用的铁芯材料有硅钢材料、坡莫合金材料和纳米晶材料,经过试验本产品选用硅钢材料铁芯满足设计要求,价格较便宜,使得本产品在同行业中更有竞争力。
2.2线圈匝数设计
对感应取电建立简化模型,进行理论分析。假设感应取电的初级线圈和次级线圈达到全耦合电磁感应,并且不考虑初级线圈和次级线圈的漏感,建立感应取电简化模型如图1所示。

图1感应取电简化模型
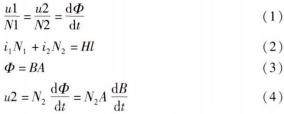
根据电磁感应取电定律,可以得出以下基本公式

φ为主磁通量;H为磁感应强度;l为磁路长度;B为磁感应强度;A为铁芯截面积;N1和N2分别是初级和次级线圈的匝数。
感应取电装置工作于理想状态时,应该是母线电流的半个周期内,铁芯的磁感应强度从负饱和增加到正饱和,此时可以取得功率,即输出电压值u2max。

本产品铁芯选用硅钢的饱和磁感应强度2.03, 截面积A=10-4m2,T=π,电压为7.5V,则带入公式计算出
,则本产品选取匝数为4800。
3、感应取电硬件设计
通过感应线圈取电后,经钳位保护电路、整流电路、线性稳压为工作电路板供电,电路如图2所示,原理图如3所示。

图2感应取电方框图

图3感应取电硬件原理图
3.2工作原理
根据设计好的感应线圈,通过各设计参数选取器件,本产品采用二极管D1进行半波整流,参数根据输入电压值u2max来选取。C3电解电容进行滤波,稳压芯片采用 NCP551-3.3V,该芯片输入电压为12V,静态电流0.4uA很适合微功耗电路。输出3.3V给单片机提供电源。C1选取大容量固态电容,这个电容很重要,选取固态电容好处,当微控制器由低功耗状态转为全负荷状态时,这种微控制器的瞬间(一般小于5ms)切换需要的大量能量均来自供电电路中的电容,此时固态电容高速充放电特性可以在瞬间输出高峰值电流,保证充足的电源供应,确保整个电路稳定工作。
3.3硬件低功耗实现
微控制器芯片采用STM8L系列芯片,该单片机有四种低功耗模式,其中halt模式下可以达到350nA,很省电。从Halt模式唤醒的时间也非常快,只需要5us。这样只要软件程序合理,在实际测试中母线电流8A无线测温模块即可启动工作。
本文采用的是Nordic2.4G无线通信技术来实现传输温度数据,工作电压范围为3.6V~1.9V,满足本文所要求的低功耗需求,该芯片其具有以下特点:(1)运行功耗低,实际运用时可根据采集温度数据间隙的时间,控制其工作时间以达到进一步降低其平均功耗;(2)传输速率高,有利于实现“实时"温度监控的目的;(3)经济性好,有利于控制测温系统的运维成本;(4)体积小,便于运用在温度传感器上。
4、软件低功耗实现
当母线处于小电流状态时,磁感应线圈获得的能量较小,这样整个电路功耗很低,这样不仅要求芯片低功耗,软件设计也尤为重要。低功耗程序设计,通过单片机和无线收发器的休眠以及外围电路的关断,使得整个电路电流不超过30ms,无线发射时功耗不超过500ms。
首先要对单片机和无线收发器进行配置,为了防止节点死机;需设计看门狗程序;为了能够进入休眠模式三,需进行电源管理和内核电压监测设置;为了防止各个节点同时发送数据岀现碰撞,需采用随机延时算法;为了降低功耗,需对温度传感器芯片进行关断,具体如下图实现。通过单片机10控制三极管温度传感器芯片进行电源关断和AD采样等具体实现如图4所示。

图4温度采样电路低功耗实现
无线测温系统软件流程图如图5所示,工作原理单片机进入休眠模式Halt,单片机处于停机状态,需要定时唤醒,设置内部RTC时钟作为定时器,定时唤醒单片机进行温度采样,采样后存,下一次单片机唤醒后设置无线发送模块工作,将温度数据发送给主机。

图5无线测温节点软件流程图
5、应用场景

电气接点在线测温装置适用于高低压开关柜内电缆接头、断路器触头、刀闸开关、高压电缆中间头、干式变压器、低压大电流等设备的温度监测,防止在运行过程中因氧化、松动、灰尘等因素造成接点接触电阻过大而发热成为安全隐患,提高设备安全保障,及时、持续、准确反映设备运行状态,降低设备事故率。
6、系统硬件配置
温度在线监测系统主要由设备层的温度传感器和温度采集/显示单元,通讯层的边缘计算网关以及站控层的测温系统主机组成,实现变配电系统关键电气部位的温度在线监测。





7、总结
基于感应取电的无线测温系统在高压开关柜实际应用运行状况良好,该系统能够对温度监测点的温度进行实时测量,测量度较高。经过测试母线电流大于8A无线测温模块经过CT感应取电即可稳定工作。解决了传统采用电池供电频繁更换电池问题,不受电流变化范围大影响可实现每天对高压开关柜内设备的温度进行监测,以确保高压开关柜正常运行。
【参考文献】
[1]冯颖姣,张盛,汪黎明,基于CT取电无线测温系统低功耗实现实用技术。
[2]刘涛,唐培林,基于感应取电的无线测温系统设计与应用[J].科技经济导刊,2016,36=68-69。
[3]韩忠杰,王玲芝,微型传感器自取电技术研究[J].计量与测试技术,2018,(45)4:46-50。
[4]开云官方端网站登录入口企业微电网设计与应用手册.2022.05版。