产品分类

PRODUCT CATEGORY

技术文章/ TECHNICAL ARTICLES

我的位置:首页  >  技术文章  >  浅谈基于CT取电无线测温系统低功耗的实现与应用

浅谈基于CT取电无线测温系统低功耗的实现与应用

更新时间:2023-05-29      浏览次数:523
胡冠楠
开云官方端网站登录入口电气股份有限公司 上海嘉定 
摘要:高压设备在长期的运行过程当中,其很多部位会发生温度急剧升高的状况,如开关柜触头接触不良导致触头温度升高,甚至烧毁,由此造成停电事故发生。由此可见,对高压开关设备的待测温部位的温度在线监测是极为必要的。基于CT取电无线温度系统不用频繁更换电池,提升系统的可靠性、实用性。本文同时介绍了如何通过软件和硬件实现无线测温系统低功耗,满足母线小电流情况使用,并在实际应用中证明该技术的实用性。
关键词:CT取电;高压设备;无线测温;低功耗

1引言

       高压电气设备温度监测点都处于高电压、大电流、强磁场的环境中,甚至有的监测点还处在密闭的空间中,由于强电磁噪声和髙压绝缘、空间的限制等问题,通常的温度测量方法无法解决这些问题而无法使用。无线式温度监测系统采用无线电波进行传输数据。传感器安装在高压设备上,与接收设备之间无电气连接,因此该系统从根本上解决了高压设备接点运行温度不易实时在线监测的难题。
       本文为高压设备无线测温系统设计了一种高压母线感应取电电源,使用该电源的无线测温模块不需要依靠变电站的市电电源供电实现了独立工作,可以大大提升监测系统的可靠性。

2感应取电线圈设计

       母线供电的核心器件是磁感应线圈,也是设计的难点。母线上的电流变化外围较大:低至几安,高达上千安,市面常见10kV高压开关柜的额定电流有630A、250A、600A等。在设计磁感应线圈的过程中要考虑到:当母线处于小电流状态时,磁感应线圈获得的能量较小,系统不能正常工作;当母线电流超过额定电流的强电状态,或者短路故障电流时,磁感应线圈产生的高压尖脉冲对副边各器件造成的干扰和损坏,尤其是对后续电路的干扰。因此在母线电流较为复杂的情况下,磁感应线圈的铁芯材料的选型极为关键。
2.1铁芯材料选择
       目前可供使用的铁芯材料有硅钢材料、坡莫合金材料和纳米晶材料,经过试验本产品选用硅钢材料铁芯满足设计要求,价格较便宜,使得本产品在同行业中更有竞争力。
2.2线圈匝数设计
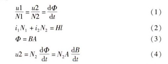
       对感应取电建立简化模型,进行理论分析。假设感应取电的初级线圈和次级线圈达到全耦合电磁感应,并且不考虑初级线圈和次级线圈的漏感,建立感应取电简化模型如图1所示。
图1感应取电简化模型
根据电磁感应取电定律,可以得出以下基本公式
       Φ为主磁通量;H为磁感应强度;L为磁路长度;B为磁感应强度;A为铁芯截面积;N1和N2分别是初级和次级线圈的匝数。
       感应取电装置工作于理想优状态时,应该是母线电流的半个周期内,铁芯的磁感应强度从负饱和增加到正饱和,此时可以取得大功率,即输出电压大值U2max。
       感应取电装置工作于理想优状态时,应该是母线电流的半个周期内,铁芯的磁感应强度从负饱和增加到正饱和,此时可以取得大功率,即输出电压大值U2max。
本产品铁芯选用硅钢的饱和磁感应强度2.03,截面积A-10-4m2,r=π,大电压为7.5V,则带入公式计算出,
则本产品选取优匝数取4800。

3感应取电硬件设计

3.1硬件实现原理图
       通过感应线圈取电后,经钳位保护电路、整流电路、线性稳压为工作电路板供电,电路如图2所示,原理图如3所示。
图2感应取电方框图
图3感应取电硬件原理图
3.2工作原理
       根据设计好的感应线圈,通过各设计参数选取器件,本产品采用二极管D1进行半波整流,保护电路采用瞬态抑制二极管,参数根据输入电压大值U2max来选取。C3电解电容进行滤波,稳压芯片采用NCP551-3.3V,该芯片大输入电压为12V,静态电流0.4uA很适合微功耗电路。输出3.3V给单片机提供电源。C1选取大容量固态电容,这个电容尤为重要,选取固态电容好处,当微控制器由低功耗状态转为全负荷状态时,这种微控制器的瞬间(一般小于5ms)切换需要的大量能量均来自供电电路中的电容,此时固态电容高速充放电特性可以在瞬间输出高峰值电流,保证充足的电源供应,确保整个电路稳定工作。
3.3硬件低功耗实现
       微控制器芯片采用STM8L系列芯片,该单片机有四种低功耗模式,其中halt模式下可以达到350nA,非常省电。从Halt模式唤醒的时间也非常快,只需要5us。这样只要软件程序合理,在实际测试中母线电流8A无线测温模块即可启动工作。
       本文采用的无线通信技术来实现传输温度数据,工作电压范围为3.6v-1.9v,满足本文所要求的低功耗需求,该芯片其具有以下优点:(1)运行功耗低,实际运用时可根据采集温度数据间隙的时间,控制其工作时间以达到进一步降低其平均功耗;(2)传输速率高,有利于实现“实时"温度监控的目的;(3)经济性好,有利于控制测温系统的运维成本;(4)体积小,便于运用在温度传感器上。

4软件低功耗实现

       当母线处于小电流状态时,磁感应线圈获得的能量较小,这样整个电路功耗很低,这样不仅要求芯片低功耗,软件设计也尤为重要。低功耗程序设计,通过单片机和无线收发器的休眠以及外围电路的关断,使得整个电路大电流不超过30ms,无线发射时功耗不超过500ms。
       首先要对单片机和无线收发器进行配置,为了防止节点死机,设计看门狗程序;为了能够进入休眠模式三,进行电源管理和内核电压监测设置;为了防止各个节点同时发送数据岀现碰撞,采用随机延时算法;为了降低功耗,对温度传感器芯片进行关断,具体如下图实现。通过单片机10控制三极管温度传感器芯片进行电源关断和AD采样等具体实现如图4所示。
图4温度采样电路低功耗实现
       无线测温系统软件流程图如图5所示,主要工作原理单片机进入休眠模式Halt,单片机处于停机状态,需要定时唤醒,设置内部RTC时钟作为定时器,定时唤醒单片机进行温度采样,采样后存,下一次单片机唤醒后设置无线发送模块工作,将温度数据发送给主机。
图5无线测温节点软件流程图

5开云官方端网站登录入口无线测温监控系统及在线测温产品介绍

5.1概述
       开关柜温度在线监测系统是基于470MHz无线测温技术开发的针对开关柜进行测温的系统,可对开关柜分别为母线排、上下触头、电缆接头,柜体表面等部位温度进行实时监测,方便运维人员及远程监控中心掌握现场设备运行情况。
5.2应用场所
       变电所,配电室,箱变等
 
5.3系统架构
       开关柜无线测温系统由无线温度传感器、测温通讯终端(温度显示仪)、温度监测预警工作站三部分组成,
 
5.4系统功能
5.4.1实时监测
       Acrel-2000T无线测温监控软件人机界面友好,能够以配电一次图的形式直观显示各测温节点的温度数据及有关故障、告警等信息。
5.4.2温度查询
       温度历史曲线(1分钟、5分钟、60分钟可选):
5.4.3运行报表
       查询各回路设备运行温度报表。
5.4.4实时报警
       壁挂式无线测温监控设备具有实时报警功能,设备能够对温度越限等事件发出警告。设备提供以下几种告警方式:
       1)弹出事件报警窗口。
       2)实时语音报警功能,能够对所有事件发出语音告警。
       3)短信警告。可以向手机发送告警信息短信(需选配短信m)。
5.4.5历史告警查询
       Acrel-2000T无线测温监控系统能够对所有告警事件记录进行存储和管理,方便用户对系统和告警等事件进行历史追溯,查询统计、事故分析。
5.4.6用户权限管理
       Acrel-2000T无线测温监控系统为保障系统安全稳定运行,设置了用户权限管理功能。通过用户权限管理能够防止未经授权的操作(如数据库修改等)。可以定义不同级别用户的登录名、密码及操作权限,为系统运行、维护、管理提供可靠的安全保障。
5.4.7定值设置
       用于修改高温定值、超温定值。
       WEB,手机APP(可选):
       通过W址和手机APP展示页面显示变电站数量、变压器数量、监测点位数量等概况信息,设备温度、通信状态,用电分析和事件记录。
5.5.产品选型
5.5.1无线测温传感器选型
5.5.2收发器选型
5.5.3测温通讯终端(温度显示仪)选型
5.6典型配置方案
5.6.1高低压柜内电气接点无线测温(单柜就地显示)
       a)配置方案
 
       说明:ARTM-Pn通过RS485接口连接ATC实现开关柜温度集中显示,可接收60只无线温度传感器  
ATE100/100M/200/400/100P/200P。
       b)安装实例
      
 
5.6.2高压柜内电气接点无线测温带操显功能(单柜就地显示)
       a)配置方案
       说明:ASD320通过RS485接口连接ATC实现开关柜温度集中显示,可接收12只无线温度传感器ATE100/100M/200/400/100P/200P。
       b)安装实例
5.6.3高低压柜内电气接点无线测温(集中就地显示/就地无显示)
       a)配置方案
       说明:触摸屏通过RS485接口连接ATC实现开关柜温度集中显示,可接收240只无线温度传感器ATE100/100M/200/400/100P/200P。如果现场不需要就地显示,可以直接通过ATC的RS485接口,把数据传送到值班室的远程温度监控系统。
       b)安装实例
5.6.4就地壁挂式集中显示方案(适用于改造,不方便在柜子上加装显示屏的现场)
方案一:Acrel-2000T/A就地集中显示:
       说明:Acrel-2000/A通过RS485接口连接ATC实现开关柜温度集中显示,可接收240只无线温度传感器ATE100/100M/200/400/100P/200P。
方案二:Acrel-2000T/B就地集中显示:
       说明:Acrel-2000T/B不仅可以通过RS485连接多种ATC收发器接收所有型号传感器实现集中显示,还可以通讯连接配电室内无线测温相关就地显示装置实现集中显示,同时还可以连接配电室内智能操控、微机保护、电力仪表等电力监控设备进行监测。
5.6.5低压电气接点有线测温、变压器绕组测温
       a)配置方案
       说明:ARTM-8温度巡检仪可配8路Pt100传感器,有线连接,Pt100传感器客户自配,测量低压电气接点时Pt100传感器需做好绝缘处理。
       b)安装实例

6总结

       基于感应取电的无线测温系统在高压开关柜实际应用运行状况良好,该系统能够对温度监测点的温度进行实时测量,测量精度高。经过测试母线电流大于8A无线测温模块经过CT感应取电即可稳定工作。解决了传统采用电池供电频繁更换电池问题,不受电流变化范围大影响可实现全天候对高压开关柜内设备的温度进行监测,以确保高压开关柜正常运行。
 
参考文献
[1]刘涛,唐培林.基于感应取电的无线测温系统设计与应用[J].科技经济导刊,2016,36:68-69.
[2]冯颖姣,张盛,汪黎明.基于CT取电无线测温系统低功耗实现实用技术.
[3]开云官方端网站登录入口电气设备温度监控解决方案.2021.06月版.
[4]开云官方端网站登录入口企业微电网设计与应用手册.2020.06月版.


开云官方

公司简介

产品展示

Acrel-5000园区厂房能源监测管理系统 能源监测管理系统 能耗计量分析系统 光伏双向计量 学校智慧用电

服务与支持

技术文章新闻中心

联系我们

联系方式在线留言

电瓶车充电桩、电动汽车充电桩禁止非法改装!

版权所有 © 2026 开云官方端网站登录入口-开云online(中国)    备案号:

技术支持:仪表网    管理登陆    sitemap.xml

手机:TEL

13774417047

地址:ADDRESS

上海市嘉定区育绿路253号

扫码关注我们