
产品分类
更新时间:2023-11-07
浏览次数:630胡冠楠
开云官方端网站登录入口电气股份有限公司 上海嘉定
摘要:随着全球环境问题的日益突出,低碳环保已经成为全球共同的目标。作为城市环境中的关键设施,地下污水厂的照明系统对节能减排和环保有着重要作用。文章以某地下污水厂为例进行照明系统设计,对设计中的灯具选型、绿色能源应用方式和照明智能化控制的要求做出分析,同时提出解决思路,从而减少地下污水厂碳排放和能源消耗,实现绿色、低碳的照明设计目标。
关键词:低碳环保;地下污水厂;照明系统设计;智能化控制
1、引言
随着城市化进程的加速和人口的增长,地下污水厂的重要性日益凸显。受限于城市规划、土地利用率、自然环境等因素,地下或半地下污水厂成为城市污水处理规划的新方向。然而,地下污水厂通常缺少日光和自然光,易造成运行成本的提高,因此在电气设计方面,照明系统的优化设计显得尤为重要。
目前,我国面对日益严重的气候变化和环境问题,先后发布了一系列建筑节能标准,国家发展委员会也制定了《节能中长期专项规划》,这些规范标准明确了民用建筑的节能设计方向。但现代地下或半地下污水厂区别于民用建筑,只有针对性地对其进行分析与设计,才能提高地下污水厂照明系统的能效和环保性,减少能源消耗,降低二氧化碳排放,达到节能减排的目的。
2、地下污水厂照明需求
2.1光照度
地下污水厂的工作场所需要保证良好的光照度,以确保工作人员的视觉清晰度和操作安全。照度的高低主要取决于工作场所的种类(如办公室、车间、管道等)和要求,通常应根据国家或地方标准进行设置。
2.2色温和色彩还原性
地下污水厂的工作场所需要采用合适的光源,以保证良好的视觉效果和舒适度。色温是指光的色调,如冷色调和暖色调等,应根据工作场所的需要进行设置。色彩还原性是指光源对物体颜色的还原效果,一些对颜色敏感的操作,如检测和分析,要求光源的色彩还原性要尽可能高。此外,光源选择还应符合《室内照明用LED产品能效限定值及能效等级》(GB30255—2019)中关于能效等级的规定。
2.3光照均匀性
地下污水厂的地下空间较大,需要保证光的均匀分布,以防止一些区域因过于明亮或过于暗淡而影响操作效果和员工视力健康。在地下污水厂的照明系统中需要设置合适的控制系统,以实现照明的自动化控制和调节,根据不同时间和工作场所的需求,灵活调整照明亮度和色温等参数,从而达到节能和提高效率的目的。
3、地下污水厂低碳照明系统的设计
3.1工程概况
以银川市某大型地下污水厂项目为研究对象,该工程规模为30万t/d,其地下操作层包含生物池、加药间、除臭系统、二沉池等区域,设计形式为单层工业建筑。以二沉池区域为例,此部分长140m,宽75m,高6.5m,标准单元柱距为9.3m×7.5m。以12个标准单元为1个计算单元,即针对长37.2m、宽22.5m的计算单元空间进行灯具数量计算和布置,如图1所示。灯具设计安装高度为6.0m,工作面为地面。
3.2一般照明系统的设计
3.2.1灯具选型
地下污水厂照明系统的设计,应结合污水厂的实际需求。为实现照明系统采购、运行、维护全流程的低碳理念,在综合楼、厂房、道路等区域全部采用LED灯具。LED灯具有高效节能、可控性强、寿命长、热量低、环保等优点,符合当下低碳理念对照明灯具的应用要求。

LED灯具可以消耗更少的能量,带来更高的光照度和更好的照明效果,从而降低能源消耗和运营成本。LED灯具可以通过数字化控制系统进行控制,可以调节照明亮度和色温,实现自动化控制和远程控制,满足不同时间和工作场所的需要;可以实现定时开关、光线感应等智能控制,提高照明效率和能效比;LED灯具有较长的使用寿命,能够保持较长时间的高亮度和稳定性,减少了更换灯具的频率和成本,降低了地下污水厂的维护费用;在环保方面,LED灯具不含有汞、铅等有害物质,不会对环境产生污染,同时具有较高的能效比,减少了碳排放和能源消耗,符合绿色、低碳的照明设计理念。
3.2.2灯具布置
采用利用系数法计算灯具数量:

式中:N为灯具数量;Eav为工作面上的平均照度,lx;A为工作面面积,m2;Φ为光源光通量,lm;K为灯具的维护系数;U为灯具的利用系数。
设计区域为地下污水厂的工作区,属于经常操作的区域,根据《建筑照明设计标准》(GB50034—2013)[1]的规定,设计照度标准值为100lx,即Eav=100lx;工作面面积A=37.2×22.5=837m2;因环境符合室内污染一般的特征,维护系数K取0.7。
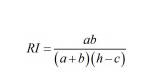
关于利用系数U,需要先计算室形指数RI,其计算公式为

式中:RI为室形指数;a为计算单元长度;b为计算单元宽度;c为工作面度;h为灯具的安装高度。
由顶棚反射比ρc=0.3、墙面反射比ρw=0.5、地面反射比ρf=0.2,可知空间表面平均反射比ρ=0.3922,因此可计算得出有效空间反射比ρeff≈0.1。经查产品手册,可知当RI=2.00时,U=0.78;当RI=2.50时,U=0.83,通过插值法计算得出当RI=2.337时,U=0.8137。根据产品手册,选用95W的LED工厂灯,单个灯具光通量Φ=11400lm。因此,灯具数量为。考虑到计算单元区域由12个标准单元组成,在采用每个标准单元布置1盏95W的LED工厂灯。
3.2.3方案校验
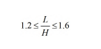
*大允许距高比。根据《照明设计手册(第三版)》[2]灯具配光曲线选择表,选取宽配光的灯具时,*大允许距高比LH为

式中:L为灯具光中心间的距离,m;H为灯具的悬挂高度,m。厂房纵向间距7.5m设置1盏灯具,横向间距9.3m设置1盏灯具,灯具均匀布置,则纵向距高比为7.5/6=1.25,横向距高比为9.3/6=1.55,距高比均符合要求。
实际照度值。经计算实际照度为93.1lx,满足与照度标准值的偏差不超过±10%的规范要求。
功率密度值。功率密度值=12×95÷(37.2×22.5)≈1.36W/m2,满足规范的节能指标要求。
3.3光导照明技术的应用
在污水厂厂房箱体处理区域设计了一套低碳环保的光导照明系统,如图2所示。该系统以室外自然光为光源,通过特殊的传输装置高效地将光线导入室内场所,为得到理想的地下空间照明效果,需进行照度分析。

根据工艺需求,在地下污水厂的操作空间内部,还应划分出一条供水厂工作人员日常巡视的通道,在此通道上,装设有自控仪表、就地控制站、就地按钮箱等装置,可实现设备的现场控制和仪表的现场监测。考虑到光导技术中的导光管在项目建设初期造价较高的特点,为实现社会效益与经济效益的双赢,只在地下操作空间的巡视通道布置导光管。
污水厂位于宁夏银川,在我国属于光气候第Ⅱ区,查《建筑采光设计标准》(GB50033—2013)[3]可知室外天然光设计照度值Es为16500lx。在计算单元区域中,巡视通道长55.8m,宽4m,通道采光面积A为223.2m2。根据制造商提供的数据可知,导光管管径尺寸为900mm,截面积At=0.64m2,系统效率η=0.723,因此,每个导光管的设计输出光通量Φ=Es×At×η=7635lm。室空间比按照巡视走廊计算,取值8.7,经查表后利用插值法计算,可知采光利用系数U=0.50,维护系数K=0.8。因此,采用光导管照明区域的平均照度为。

光导管照明区域的照度大于照度标准值75lx,满足要求。在对导光管进行设备选型时,需满足漫射器的设计要求,应将满射角控制在37°以上。通过应用光导照明技术,在地下污水厂在日常维护中实现了零能耗、免维护、低成本、自然舒适的目标。光导照明在白天基本取代了电力照明,降低了污水厂内部的白天照明能耗,这也间接降低了二氧化碳和其他污染物的排放。导光管内部中空,无须定期更换灯具,除擦拭采光器外,实现了免维护。并且光导技术的光源取自太阳光,光线柔和、全频谱、无闪烁、显色性好,可以减少人们的视觉疲劳,工作环境更加舒适。
3.4智能照明控制技术在的应用
智能照明控制技术是一种通过感知和控制技术来实现灯光自动化的技术。在地下污水厂中,智能照明控制技术可以帮助实现更加智能、高效的照明控制,从而达到节能、舒适和环保的效果。地下污水厂的智能照明控制系统由一台照明控制计算机、若干照明控制模块,以及照明控制面板、照度传感器、红外线传感器等组成。照明控制计算机位于厂区综合楼中控室内,负责对整个智能照明控制系统进行控制和管理,各照明控制模块安装于各分区的照明配电箱内。系统利用实时可靠的通信总线将网络控制命令发送至各照明控制模块,同时接收现场的手动/自动工作状态、灯具的开关状态和火灾自动报警的联动信号。在各室内区域现场主要出入口设置照明控制面板和红外线传感器,就地进行照明模式的切换与灯具的开关,*大限度地节约照明系统的能耗。通过建立智能照明控制系统,实现了亮度感应、时间控制、远程控制等功能,帮助地下污水厂实现了更加智能、高效、舒适和环保的照明控制。
4、地下污水厂低碳照明系统的特点
在地下污水厂中应用低碳照明系统,可以在减少能源消耗和碳排放的前提下,实现节能减排和灯具长寿命、色彩还原度高、易于控制等方面的目标。但不可否认的是低碳照明系统的应用仍然存在一些缺点。
4.1初始成本高。
低碳照明系统采用的LED等光源成本较高,增加了设备的初始投资,但在使用寿命和节能效果上可以得到回报。
4.2需要专业安装和维护。
低碳照明系统的安装和维护需要专业技术人员,如光线的调节和安装等,一旦出现问题,需要专业人员维修或更换,增加了成本和维护难度。
4.3光照度不足。
低碳照明系统的光源亮度比传统照明设备低,需要更多的LED光源才能达到传统照明设备相同的光照度,增加了设备的数量和成本。
5、AcrelEMS-SW智慧水务能效管理平台
5.1平台概述
开云官方端网站登录入口电气具备从终端感知、边缘计算到能效管理平台的产品生态体系,AcrelEMS-SW智慧水务能效管理平台通过在污水厂源、网、荷、储、充的各个关键节点安装保护、监测、分析、治理装置,用于监测污水厂能耗总量和能耗强度,监测主要用能设备能效,保护污水厂运行安全可靠,提高污水厂能效,为污水处理的能效管理提供科学、精细的解决方案。
5.1.1平台组成
AcrelEMS智慧水务综合能效管理系统由变电站综合自动化系统、电力监控及能效管理系统组成,涵盖了水务中压变配电系统、电气安全、应急电源、能源管理、照明控制、设备运维等,贯穿水务能源流的始终,帮助运维管理人员通过一套平台、一个APP实时了解水务配电系统运行状况,并且根据权限可以适用于水务后勤部门管理需要。
5.1.2平台拓扑图

5.2平台子系统
5.2.1智能照明控制
系统为污水厂、自来水厂、水泵站等提供了照明控制管理方案,支持单控、区域控制、自动控制、感应控制、定时控制、场景控制、调光控制等多种控制方式,模块可根据经纬度自动识别日出日落时间实现自动控制功能,尽量利用自然光照,实现室内、厂区照明的智能控制达到安全、节能、舒适、高效的目的。

5.3消防应急照明和疏散指示
根据预先设置的应急预案快速启动疏散方案引导人员疏散。系统接入消防应急照明指示系统数据,通过平面图显示疏散指示灯具工作状态和异常情况。
5.3.1消防设备电源监测
监测消防设备的工作电源是否正常,保障在发生火灾时消防设备可以正常投入使用。
5.4相关平台部署硬件选型清单
5.4.1智能照明系统


5.4.2消防应急照明和疏散指示系统






6、结语
文章基于对低碳照明技术的分析,结合地下污水厂的实际需求,设计了一套低碳照明系统。该系统采用了LED、导光管和智能照明控制等低碳照明技术,实现了更加智能、高效和舒适的照明。相信在不久的将来,低碳照明技术将会在更广泛的场景中得到应用,为人类创造更加美好的照明环境。通过对地下污水处理厂照明设计的经验总结和对规范的研究,形成有效和对性照明设计方法。
参考文献
[1] 龙承潮.地下污水厂低碳照明系统的设计及应用.
[2] 中国建筑科学研究院.建筑照明设计标准:GB50034—2013[S].北京:中国建筑工业出版社,2014.
[3] 北京照明学会照明设计专业委员会.照明设计手册(第三版)[M].北京:中国电力出版社,2017.
[4] 开云官方端网站登录入口企业微电网设计与应用手册.2022.05版.
上一篇:智能光伏汇流采集装置的发展与应用